中级会计师
首页
>
中级会计职称考试
>
中级会计师资格证
>正文
2018年广州考区中级会计资格考后资格复核通知
来源:广州市财政局 2018-11-09 14:49
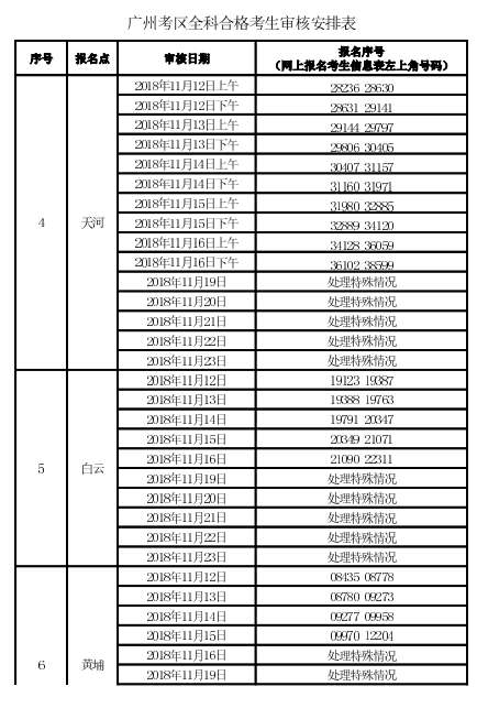
广州考区2018年度全国会计专业技术中级资格考后资格复核的通知
广州市财政局
2018-11-06
2025中级会计考试豪华资料包:三色笔记/思维导图/历年真题/考前密卷/精品课程/机考题库免费领取!
最新资讯
2025年中级会计职称合格证书领取时间和
02-28
新疆2025年中级会计证书领取时间和方式
02-28
内蒙古2025年中级会计职称合格证书领取
02-28
江苏2025年中级会计证书发放时间和方式
01-23
兵团2025年中级会计证书领取时间的通知
01-23
上海2025年中级会计职称合格证书集中领
01-23
青海2025中级会计证书领取时间:1月12
01-14
海南2025年度中级会计合格证书领取时间
01-14
备战中级会计师考试,关注微信公众号:
中国会计网
长按保存图片
微信打开扫一扫
报考咨询、进群领资料
免费资料
学习计划
考试指南
高频考点
历年真题
精品课程
思维导图
一键领取
报考指南
中级报考指南
报名时间
中级报名条件
中级会计报名入口
考试时间
考试科目
准考证打印
中级成绩查询
证书领取
中国会计网
(CANET)- 服务中国会计行业!
©2021-2026 中国会计网 京ICP备12013966号
考试
选择辅导
初级会计师
中级会计师
高级会计师
注册会计师
税务师
资产评估师
管理会计师
ACCA
CMA
审计师
统计师
经济师
银行
基金
证券
实务
资讯
实务
法规
税务
审计
出纳
报表
会计准则
会计科目
分录
财务咨询
财务管理
地方
北京
上海
天津
重庆
广东
江苏
浙江
山东
福建
河南
湖南
湖北
山西
河北
安徽
江西
陕西
甘肃
宁夏
四川
云南
贵州
广西
新疆
青海
吉林
辽宁
西藏
海南
内蒙古
黑龙江